Resultat från labexperiment och företagsstudier
Detta är en sammanfattning av sex fallstudier som gjort i både labmiljö och på företag om användandet av VR och AR teknologi. Studierna har utförts under 2016 och 2017 i samarbete mellan företag och Chalmers. Resultatet visar att olika teknologier passar för olika applikationer och att det är viktigt att veta var och när teknikan skall användas.
Fallstudierna gjordes i labmiljö på Chalmers och på företag , vissa fallstudier gjorde endast användartester och vissa gjordes enkäter. Nedan ses en samanfattning av fallstudierna som presenteras.
| Fallstudie | Lab/Företag | Användartester | Enkät/Intervju | Antal | VR/AR |
| A | F | J | - | 12 | AR |
| B | L | J | J | 30 | AR |
| C | F | J | J | 96 | AR |
| D | F | J | - | 52 | AR/VR |
| E | L | J | J | 11 | AR/VR |
| F | L | J | J | 30 | AR |
I fallstudie A testades AR-teknologi från XMReality. Operationen som utvärderades var ett ställ i en avancerad fixtur. Resultatet i cykeltid visas nedan.Fyra av operatörerna använde den vanliga instruktionen som är bildbaserad där en var erfaren (märkt med *), sju av operatörerna gjorde istället med hjälp av Augmented Reality och experthjälp (sk. Remote guidence).
Resultatet ger en indikation på att det tar längre tid för erfarna operatörer när de använder AR medan det tar kortare tid för de oerfarna. Mer om fallstudie A går att läsa här.
I fallstudie B testades olika typer av instruktioner för montering; Bild, film, förklaring av expert på plats och förklaring från expert på distans med hjälp av AR-teknologi från XMReality.

Produkten som används vid monteringarna är en växellåda i lego som består av 21 komponenter. Cykeltiden för en erfaren operatör ligger runt 55 sekunder.

Mätningar gjordes på fem monteringar där tid (till vänster [sek]) och kvalitet (till höger) mättes.

Resultatet ger en indikation på att filmbaserade instruktioner tar längs tid att komma igång med, detta berodde på att montören tittade på filmen en gång innan hen började montera.
Högst kvalitet fås om AR används, detta kan bero på att experten hela tiden ser vad montören gör och kan rätta till eventuella felmonteringar innan montören är klar. Sämst kvalitet fas när textbaserade instruktioner används, detta kan bero på att montören tror att hen kan men glömmer vissa komponenter eftersom hen inte tittar på instruktionerna hela tiden.
Mer om fallstudie B går att läsa här
I fallstudie C testades AR-Teknologi från XMReality på Scanautomatic 2016 i Göteborg. Personerna fick montera samma produkt som i fallstudie B och sedan fylla i hur lätt de tyckte det vara att använda tekniken.

Resultatet indikerar att 87 porcent tycker att tekniken är enkel att använda. Intressant trend är att flest negativa svar kommer innan lunch och runt fyra, då man normalt har sockerdipp.
I fallstudie D gjordes ingen fallstudie utan en utredning om vad industri och studenter tycker om AR respektive VR och när den förväntas användas i industrin. Ett intressant påstående från enkäten var; Uppskattad tid innan teknik spås vara etablerad i det framtida arbetet

Resultatet indikerar att studenterna tror att det kommer ta längre tid att implementera AR/VR teknologi i industrin än vad industrin tror.
Mer om enkätsvaren finns att läsa här
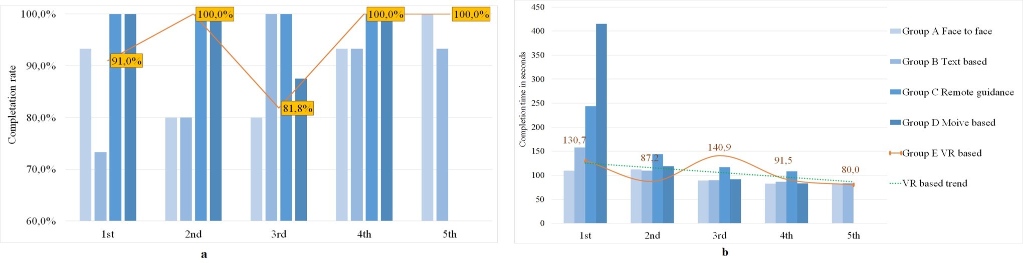
Fallstudie E är en fortsättning på fallstudie B där VR applikation är adderad och jämförs med de tidigare teknikerna. Applikationen är uppbyggd med hjälp av Unity och HTC vive används för att montera växellådan.Varje monör monterade fem växellådor varav två virtuellt och tre i verkligheten.

Resultatet indikerar att kvalitén (bilden till vänster) är sämre de två första gångerna montören monterar, både virtuellt och i verkligheten. Gällande cykeltiden (bilden till höger) så är tiden snabbare än de flesta andra teknikerna gällande den virtuella delen men stiger lite när montören skall övergå att montera i verkligheten.
Mer om fallstudie E går att läsa här
Fallstudie F gjordes en fallstudie där olika typer av monteringsinstruktioner testades för montering av VR-glasögon i papp. En hel del av produktutveckling gjordes även för att förenkla monteringen.
Mer om fallstudie F går att läsa här
Taggar
Artikeln är taggad med följande taggar. Klicka på en tagg för att se alla artiklar med samma taggning.